Thông tin và xử lý thông tin?
THÔNG TIN
1. Khái niệm về thông tin
Khái niệm thông tin (information) được sử dụng thường ngày. Con người có nhu cầu đọc báo, nghe đài, xem phim, đi tham quan, du lịch, tham khảo ý kiến người khác,... để nhận được thêm thông tin mới. Thông tin mang lại cho con người sự hiểu biết, nhận thức tốt hơn về những đối tượng trong đời sống xã hội, trong thiên nhiên,... giúp cho họ thực hiện hợp lý công việc cần làm để đạt tới mục đích một cách tốt nhất.
Dữ liệu (data) là sự biểu diễn của thông tin và được thể hiện bằng các tín hiệu vật lý.
Thông tin chứa đựng ý nghĩa còn dữ liệu là các sự kiện không có cấu trúc và không có ý nghĩa nếu chúng không được tổ chức và xử lý.
Hệ thống thông tin (information system) là một hệ thống ghi nhận dữ liệu, xử lý chúng để tạo nên thông tin có ý nghĩa hoặc dữ liệu mới.

2. Đơn vị đo thông tin
Đơn vị dùng để đo thông tin gọi là bit. Một bit tương ứng với một chỉ thị hoặc một thông báo nào đó về sự kiện có 1 trong 2 trạng thái có số đo khả năng xuất hiện đồng thời là Tắt (Off) / Mở (On) hay Đúng (True) / Sai (False).
Ví dụ: Một mạch đèn có 2 trạng thái là:
- Tắt (Off) khi mạch điện qua công tắc là hở
- Mở (On) khi mạch điện qua công tắc là đóng
Số học nhị phân sử dụng hai ký số 0 và 1 để biểu diễn các số. Vì khả năng sử dụng hai số 0 và 1 là như nhau nên một chỉ thị chỉ gồm một chữ số nhị phân có thể xem như là đơn vị chứa thông tin nhỏ nhất.
Bit là chữ viết tắt của BInary digiT. Trong tin học, người ta thường sử dụng các đơn vị đo thông tin lớn hơn như sau:
|
Tên gọi
|
Ký hiệu
|
Giá trị
|
|
Byte
|
B
|
8 bit
210 B = 1024 Byte
220 B
230 B
240 B
|
|
KiloByte
|
KB
|
|
MegaByte
|
MB
|
|
GigaByte
|
GB
|
|
TetraByte
|
TB
|
3. Sơ đồ tổng quát của một quá trình xử lý thông tin
Mọi quá trình xử lý thông tin bằng máy tính hay bằng con người đều được thực hiện theo một qui trình sau:
Dữ liệu (data) được nhập ở đầu vào (Input). Máy tính hay con người sẽ thực hiện quá trình xử lý nào đó để nhận được thông tin ở đầu ra (Output). Quá trình nhập dữ liệu, xử lý và xuất thông tin đều có thể được lưu trữ.

4. Xử lý thông tin bằng máy tính điện tử
Thông tin là kết quả bao gồm nhiều quá trình xử lý các dữ liệu và thông tin có thể trở thành dữ liệu mới để theo một quá trình xử lý dữ liệu khác tạo ra thông tin mới hơn theo ý đồ của con người.
Con người có nhiều cách để có dữ liệu và thông tin. Người ta có thể lưu trữ thông tin qua tranh vẽ, giấy, sách báo, hình ảnh trong phim, băng từ,... Trong thời đại hiện nay, khi lượng thông tin đến với chúng ta càng lúc càng nhiều thì con người có thể dùng một công cụ hỗ trợ cho việc lưu trữ, chọn lọc và xử lý lại thông tin gọi là máy tính điện tử (Computer). Máy tính điện tử giúp con người tiết kiệm rất nhiều thời gian, công sức và tăng độ chính xác cao trong việc tự động hóa một phần hay toàn phần của quá trình xử lý dữ liệu hay thông tin.
BIỂU DIỄN THÔNG TIN TRONG MÁY TÍNH ĐIỆN TỬ
1. Biểu diễn số trong các hệ đếm
Hệ đếm là tập hợp các ký hiệu và qui tắc sử dụng tập ký hiệu đó để biểu diễn và xác định các giá trị các số. Mỗi hệ đếm có một số ký số (digits) hữu hạn. Tổng số ký số của mỗi hệ đếm được gọi là cơ số (base hay radix), ký hiệu là b.
Hệ đếm cơ số b (b2, b là số nguyên dương) mang tính chất sau :
- Có b ký số để thể hiện giá trị số. Ký số nhỏ nhất là 0 và lớn nhất là b-1.
- Giá trị vị trí thứ n trong một số của hệ đếm bằng cơ số b lũy thừa n: bn
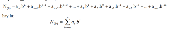
- Số N(b) trong hệ đếm cơ số (b) được biểu diễn bởi: N(b) = anan-1an-2 ...a1a0a-1a-2 ...a-m
trong đó, số N(b) có n+1 ký số biểu diễn cho phần nguyên và m ký số lẻ biểu diễn cho phần b_phân, và có giá trị là:

Trong ngành toán - tin học hiện nay phổ biến 4 hệ đếm là hệ thập phân, hệ nhị phân, hệ bát phân và hệ thập lục phân
2. Hệ đếm thập phân (Decimal system, b=10)
Hệ đếm thập phân hay hệ đếm cơ số 10 là một trong các phát minh của người Ả rập cổ, bao gồm 10 ký số theo ký hiệu sau:
0, 1, 2, 3, 4, 5, 6, 7, 8, 9
Qui tắc tính giá trị của hệ đếm này là mỗi đơn vị ở một hàng bất kỳ có giá trị bằng 10 đơn vị của hàng kế cận bên phải. Ở đây b=10. Bất kỳ số nguyên dương trong hệ thập phân có thể biểu diễn như là một tổng các số hạng, mỗi số hạng là tích của một số với 10 lũy thừa, trong đó số mũ lũy thừa được tăng thêm 1 đơn vị kể từ số mũ lũy thừa phía bên phải nó. Số mũ lũy thừa của hàng đơn vị trong hệ thập phân là 0.
Ví dụ: Số 5246 có thể được biểu diễn như sau:
5246 = 5 x 103 + 2 x 102 + 4 x 101 + 6 x 100
= 5 x 1000 + 2 x 100 + 4 x 10 + 6 x 1
Thể hiện như trên gọi là ký hiệu mở rộng của số nguyên.
Vì 5246 = 5000 + 200 + 40 + 6
Như vậy, trong số 5246 : ký số 6 trong số nguyên đại diện cho giá trị 6 đơn vị (1s), ký số 4 đại diện cho giá trị 4 chục (10s), ký số 2 đại diện cho giá trị 2 trăm (100s) và ký số 5 đại diện cho giá trị 5 ngàn (1000s). Nghĩa là, số lũy thừa của 10 tăng dần 1 đơn vị từ trái sang phải tương ứng với vị trí ký hiệu số,
= 1 = 10 = 100 = 1000 = 10000 ...
Mỗi ký số ở thứ tự khác nhau trong số sẽ có giá trị khác nhau, ta gọi là giá trị vị trí (place value).
Phần thập phân trong hệ thập phân sau dấu chấm phân cách thập phân (theo qui ước của Mỹ) thể hiện trong ký hiệu mở rộng bởi 10 lũy thừa âm tính từ phải sang trái kể từ dấu chấm phân cách:

3. Hệ đếm nhị phân (Binary system, b=2)
Với b=2, chúng ta có hệ đếm nhị phân. Đây là hệ đếm đơn giản nhất với 2 chữ số là 0 và 1. Mỗi chữ số nhị phân gọi là BIT (viết tắt từ chữ BInary digiT). Vì hệ nhị phân chỉ có 2 trị số là 0 và 1, nên khi muốn diễn tả một số lớn hơn, hoặc các ký tự phức tạp hơn thì cần kết hợp nhiều bit với nhau.
Ta có thể chuyển đổi hệ nhị phân theo hệ thập phân quen thuộc. Ví dụ: Số 11101.11(2) sẽ tương đương với giá trị thập phân là :

4. Hệ đếm bát phân (Octal system, b=8)
Nếu dùng 1 tập hợp 3 bit thì có thể biểu diễn 8 trị khác nhau : 000, 001, 010, 011, 100, 101, 110, 111. Các trị này tương đương với 8 trị trong hệ thập phân là 0, 1, 2, 3, 4, 5, 6, 7. Tập hợp các chữ số này gọi là hệ bát phân, là hệ đếm với b = 8 = 23. Trong hệ bát phân, trị vị trí là lũy thừa của 8.
Ví dụ:
5. Hệ đếm thập lục phân (Hexa-decimal system, b=16)
Hệ đếm thập lục phân là hệ cơ số b=16 = 24, tương đương với tập hợp 4 chữ số nhị phân (4 bit). Khi thể hiện ở dạng hexa-decimal, ta có 16 ký tự gồm 10 chữ số từ 0 đến 9, và 6 chữ in A, B, C, D, E, F để biểu diễn các giá trị số tương ứng là 10, 11, 12, 13, 14, 15. Với hệ thập lục phân, trị vị trí là lũy thừa của 16.
Ví dụ: 34F5C(16) = 3x164 + 4x163 + 15x162 + 5x161 + 12x160 = 216294(10)
Ghi chú: một số ngôn ngữ lập trình qui định viết số hexa phải có chữ H ở cuối chữ số.
Ví dụ: Số 15 viết là FH.
Bảng qui đổi tương đương 16 chữ số đầu tiên của 4 hệ đếm
|
Hệ 10
|
Hệ 2
|
Hệ 8
|
Hệ 16
|
|
0
|
0000
|
00
|
0
|
|
1
|
0001
|
01
|
1
|
|
2
|
0010
|
02
|
2
|
|
3
|
0011
|
03
|
3
|
|
4
|
0100
|
04
|
4
|
|
5
|
0101
|
05
|
5
|
|
6
|
0110
|
06
|
6
|
|
7
|
0111
|
07
|
7
|
|
8
|
1000
|
10
|
8
|
|
9
|
1001
|
11
|
9
|
|
10
|
1010
|
12
|
A
|
|
11
|
1011
|
13
|
B
|
|
12
|
1100
|
14
|
C
|
|
13
|
1101
|
15
|
D
|
|
14
|
1110
|
16
|
E
|
|
15
|
1111
|
17
|
F
|
6. Đổi một số nguyên từ hệ thập phân sang hệ b
Tổng quát: Lấy số nguyên thập phân N(10) lần lượt chia cho b cho đến khi thương số bằng 0. Kết quả số chuyển đổi N(b) là các dư số trong phép chia viết ra theo thứ tự ngược lại.
Ví dụ: Số 12(10) = ?(2). Dùng phép chia cho 2 liên tiếp, ta có một loạt các số dư như

7. Đổi phần thập phân từ hệ thập phân sang hệ cơ số b
Tổng quát: Lấy phần thập phân N(10) lần lượt nhân với b cho đến khi phần thập phân của tích số bằng 0. Kết quả số chuyển đổi N(b) là các số phần nguyên trong phép nhân viết ra theo thứ tự tính toán.

8. Mệnh đề logic
Mệnh đề logic là mệnh đề chỉ nhận một trong 2 giá trị : Đúng (TRUE) hoặc Sai (FALSE), tương đương với TRUE = 1 và FALSE = 0.
Qui tắc: TRUE = NOT FALSE và FALSE = NOT TRUE
Phép toán logic áp dụng cho 2 giá trị TRUE và FALSE ứng với tổ hợp AND (và) và OR (hoặc) như sau:
|
x
|
y
|
AND(x, y)
|
OR(x, y)
|
|
TRUE
|
TRUE
|
TRUE
|
TRUE
|
|
TRUE
|
FALSE
|
FALSE
|
TRUE
|
|
FALSE
|
TRUE
|
FALSE
|
TRUE
|
|
FALSE
|
FALSE
|
FALSE
|
FALSE
|
9. Biểu diễn thông tin trong máy tính điện tử
Dữ liệu số trong máy tính gồm có số nguyên và số thực.
- Biểu diễn số nguyên
- Số nguyên gồm số nguyên không dấu và số nguyên có dấu.
- Số nguyên không dấu là số không có bit dấu như 1 byte = 8 bit, có thể biểu diễn 28= 256 số nguyên dương, cho giá trị từ 0 (0000 0000) đến 255 (1111 1111).
- Số nguyên có dấu thể hiện trong máy tính ở dạng nhị phân là số dùng 1 bit làm bít dấu, người ta qui ước dùng bit ở hàng đầu tiên bên trái làm bit dấu (S): 0 là số dương và 1 cho số âm. Đơn vị chiều dài để chứa thay đổi từ 2 đến 4 bytes.
- Biểu diễn ký tự
Để có thể biễu diễn các ký tự như chữ cái in và thường, các chữ số, các ký hiệu... trên máy tính và các phương tiện trao đổi thông tin khác, người ta phải lập ra các bộ mã (code system) qui ước khác nhau dựa vào việc chọn tập hợp bao nhiêu bit để diễn tả 1 ký tự tương ứng, ví dụ các hệ mã phổ biến :
- Hệ thập phân mã nhị phân BCD (Binary Coded Decima) dùng 6 bit.
- Hệ thập phân mã nhị phân mở rộng EBCDIC (Extended Binary Coded Decimal Interchange Code) dùng 8 bit tương đương 1 byte để biễu diễn 1 ký tự.
- Hệ chuyển đổi thông tin theo mã chuẩn của Mỹ ASCII (American Standard Code for Information Interchange) là hệ mã thông dụng nhất hiện nay trong kỹ thuật tin học. Hệ mã ASCII dùng nhóm 7 bit hoặc 8 bit để biểu diễn tối đa 128 hoặc 256 ký tự khác nhau và mã hóa theo ký tự liên tục theo cơ số 16.

Hệ mã ASCII 8 bit (ASCII mở rộng) có thêm 128 ký tự khác ngoài các ký tự nêu trên gồm các chữ cái có dấu, các hình vẽ, các đường kẻ khung đơn và khung đôi và một số ký hiệu đặc biệt (Xem chi tiết trong bảng phụ lục 1.1 và 1.2).
TIN HỌC
1. Các lĩnh vực nghiên cứu của tin học
- Tin học (Informatics) được định nghĩa là ngành khoa học nghiên cứu các phương pháp, công nghệ và kỹ thuật xử lý thông tin tự động. Công cụ chủ yếu của tin học là máy tính điện tử và các thiết bị truyền tin khác. Việc nghiên cứu chính của tin học nhắm vào hai kỹ thuật phát triển song song:
- Kỹ thuật phần cứng (hardware engineering): nghiên cứu chế tạo các thiết bị, linh kiện điện tử, công nghệ vật liệu mới... hỗ trợ cho máy tính và mạng máy tính, đẩy mạnh khả năng xử lý toán học và truyền thông thông tin.
- Kỹ thuật phần mềm (software engineering): nghiên cứu phát triển các hệ điều hành, ngôn ngữ lập trình cho các bài toán khoa học kỹ thuật, mô phỏng, điều khiển tự động, tổ chức dữ liệu và quản lý hệ thống thông tin.
2. Ứng dụng của tin học
Tin học hiện đang được ứng dụng rộng rãi trong tất cả các ngành nghề khác nhau của xã hội từ khoa học kỹ thuật, y học, kinh tế, công nghệ sản xuất đến khoa học xã hội, nghệ thuật,... như:
- Tự động hóa công tác văn phòng
- Thống kê
- Công nghệ thiết kế
- Giáo dục
- Quản trị kinh doanh
- An ninh quốc phòng, …
Đặc biệt ngày nay, với việc ứng dụng Internet, nhân loại đang được hưởng lợi từ những dịch vụ mớinhư:
- Thư điện tử
- Thư viện điện tử
- E_Learning
- Thương mại điện tử
- Chính phủ điện tử, …
3. Máy tính điện tử và lịch sử phát triển
Do nhu cầu cần tăng độ chính xác và giảm thời gian tính toán, con người đã quan tâm chế tạo các công cụ tính toán từ xưa: bàn tính tay của người Trung Quốc, máy cộng cơ học của nhà toán học Pháp Blaise Pascal (1623 - 1662), máy tính cơ học có thể cộng, trừ, nhân, chia của nhà toán học Đức Gottfried Wilhelmvon Leibniz (1646 - 1716), máy sai phân để tính các đa thức toán học ...
Tuy nhiên, máy tính điện tử thực sự bắt đầu hình thành vào thập niên 1950 và đến nay đã trải qua 5 thế hệ và được phân loại theo sự tiến bộ về công nghệ điện tử và vi điện tử cũng như các cải tiến về nguyên lý, tính năng và loại hình của nó.
Thế hệ 1 (1950 - 1958): máy tính sử dụng các bóng đèn điện tử chân không, mạch riêng rẽ, vào số liệu bằng phiếu đục lỗ, điều khiển bằng tay. Máy có kích thước rất lớn, tiêu thụ năng lượng nhiều, tốc độ tính chậm khoảng 300 - 3.000 phép tính/s. Loại máy tính điển hình thế hệ 1 như EDVAC (Mỹ) hay BESM (Liên Xô cũ),...
Thế hệ 2 (1958 - 1964): máy tính dùng bộ xử lý bằng đèn bán dẫn, mạch in. Máy tính đã có chương trình dịch như Cobol, Fortran và hệ điều hành đơn giản. Kích thước máy còn lớn, tốc độ tính khoảng 10.000 -100.000 phép tính/s. Điển hình như loại IBM-1070 (Mỹ) hay MINSK (Liên Xô cũ),...
Thế hệ 3 (1965 - 1974): máy tính được gắn các bộ vi xử lý bằng vi mạch điện tử cỡ nhỏ có thể có được tốc độ tính khoảng 100.000 - 1 triệu phép tính/s. Máy đã có các hệ điều hành đa chương trình, nhiều người đồng thời hoặc theo kiểu phân chia thời gian. Kết quả từ máy tính có thể in ra trực tiếp ở máy in. Điển hình như loại IBM-360 (Mỹ) hay EC (Liên Xô cũ),...
Thế hệ 4 (1974 - nay): máy tính bắt đầu có các vi mạch đa xử lý có tốc độ tính hàng chục triệu đến hàng tỷ phép tính/s. Giai đoạn này hình thành 2 loại máy tính chính: máy tính cá nhân để bàn (Personal Computer - PC) hoặc xách tay (Laptop hoặc Notebook computer) và các loại máy tính chuyên nghiệp thực hiện đa chương trình, đa xử lý,... hình thành các hệ thống mạng máy tính (Computer Networks), và các ứng dụng phong phú đa phương tiện.
Thế hệ 5 (1990 - nay): bắt đầu các nghiên cứu tạo ra các máy tính mô phỏng các hoạt động của não bộ và hành vi con người, có trí khôn nhân tạo với khả năng tự suy diễn phát triển các tình huống nhận được và hệ quản lý kiến thức cơ bản để giải quyết các bài toán đa dạng
Xem thêm
Tóm tắt lý thuyết Tin học đại cương
Phần I: NHỮNG HIỂU BIẾT CƠ BẢN VỀ TIN HỌC
Tóm tắt lý thuyết Tin học đại cương: Thông tin và xử lý thông tin
Tóm tắt lý thuyết Tin học đại cương: Cấu trúc tổng quát của máy tính điện tử
Tóm tắt lý thuyết Tin học đại cương: Hệ điều hành
Tóm tắt lý thuyết Tin học đại cương: Quản lý dữ liệu bằng Windows Explorer
Tóm tắt lý thuyết Tin học đại cương: Sử dụng tiếng việt trong Windows
Tóm tắt lý thuyết Tin học đại cương: Bảo vệ sữ liệu và phòng chống Virus
Phần III: XỬ LÝ BẢNG TÍNH VỚI MICROSOFT EXCEL
Tóm tắt lý thuyết Tin học đại cương: Giới thiệu Microsoft Excel
Tóm tắt lý thuyết Tin học đại cương: Các thao tác cơ bản
Tóm tắt lý thuyết Tin học đại cương: Một số hàm trong Excel
Tóm tắt lý thuyết Tin học đại cương: Thao tác trên cơ sở dữ liệu
Tóm tắt lý thuyết Tin học đại cương: Tạo biểu đồ trong Excel
Tóm tắt lý thuyết Tin học đại cương: Định dạng và in ấn trong Excel
Phần IV: TRÌNH DIỄN VỚI MICROSOFT POWER POINT
Tóm tắt lý thuyết Tin học đại cương: Giới thiệu Microsoft PowerPoint
Tóm tắt lý thuyết Tin học đại cương: Cập nhập và định dạng
Tóm tắt lý thuyết Tin học đại cương: Làm việc với các trình diễn
Phần V: SỬ DỤNG DỊCH VỤ WEB VÀ EMAIL
Tóm tắt lý thuyết Tin học đại cương: Internet và dịch vụ World Wide Web
Tóm tắt lý thuyết Tin học đại cương: Dịch vụ thư điện tử
Việc làm dành cho sinh viên:
Việc làm thực tập sinh kỹ sư tự động hóa
Việc làm gia sư các môn cập nhật theo ngày mới nhất
Việc làm thêm nhân viên phục vụ nhà hàng/ quán cafe dành cho sinh viên
Việc làm thực tập sinh kỹ thuật
Mức lương của thực tập sinh kỹ thuật là bao nhiêu?
Bình luận (0)
Đăng nhập để có thể bình luận
Chưa có bình luận nào. Bạn hãy là người đầu tiên cho tôi biết ý kiến!