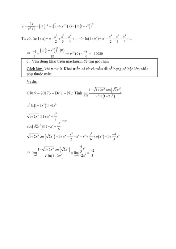
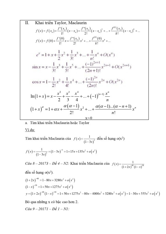
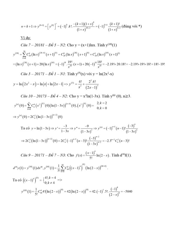
ĐẠO HÀM VÀ VI PHÂN
CÔNG THỨC






CÂU HỎI TRẮC NGHIỆM
Câu 1: Viết phương trình tiếp tuyến của đường cong ? = ln(?2 + ?) tại điểm có hoành độ ? = 0.
A. ? = 0
B. ? = 1
C. ? = ? + 1
D. ? = ? - 1
Câu 2: Tính đạo hàm của hàm
A.
B.
C.
D.
Câu 3: Tính đạo hàm của hàm
?(?) = (1 + ?)?, ? > 1.
A. (1 + ?)? [ln(1 + ?) + ]
B. (1 + ?)? [ln(1 + ?) - ]
C. ?′(?) = ln(1 + ?) +
D. ?′(?) = ln(1 + ?) -
Câu 4: Tính đạo hàm cấp ? của hàm
? = ?-3?.
A. ?(?) = (-3)??3?
B. ?(?) = (-3)?+1?-3?
C. ?(?) = (-3)?-1?-3?
D. ?(?) = (-3)??-3?
Câu 5: Tính đạo hàm cấp ? của hàm
?(?) = ln|? + 2|
A.
B.
C.
D.
Câu 6: Tính đạo hàm cấp ? của hàm
?(?) = ln|?2 - 3? + 2|.
A.
B.
C.
D.
Câu 7: Tính
?′ = của hàm số ? = ?(?) được cho bởi phương trình tham số
A. ?′ = 2 sin ?
B. ?′ = 2 sin ? cos ?
C. ?′ = 2?
D. ?′ = -2?
Câu 8: Tính
?′ của hàm ? = ?(?) cho bởi phương trình tham số
A.
B.
C.
D.
Câu 9: Tính
?′(?) = của hàm ? = ?(?) cho bởi phương trình tham số
A.
B.
C.
D.
Câu 10: Tính
?′ của hàm ? = ?(?) cho bởi phương trình tham số
A.
B.
C.
D.
Câu 11: Tính vi phân của
? = (3?)?
A. ?? = (3?)?(ln 3? + 3)??
B. ?? = (ln 3? + 1)??
C. ?? = (3?)?(ln 3? + 1)??
D. ?? = (ln 3? + 3)??
Câu 12: Tính ?? của
A.
B.
C.
D.
Câu 13: Tính vi phân cấp 2 của hàm
? = ln(1 + ?2).
A.
B.
C.
D.
Câu 14: Tính vi phân cấp 2 của hàm
? = arctan(?2)
A.
B.
C.
D.
Câu 15: Tính giới hạn
A.
B.
C.
D. 0
Câu 16: Xác định ? để hàm số
A. ? = 0
B. ? = 2
C. ? = 3
D. ? = 1
Câu 18: Xác định ? để hàm số
A. ? = 3
B. ? = 2
C. ? = 0
D. ? = 1
Câu 19: Tính giới hạn
A. 1
B.
C.
D.
Câu 20: Tính giới hạn
A.
B.
C.
D.
Câu 21: Tính giới hạn
A.
B.
C.
D.
Câu 22: Tính giới hạn
A.
B.
C.
D.
Câu 23: Tính giới hạn
A. 0
B. 1
C. 2
D.
Câu 24: Tính giới hạn
A. e
B.
C.
D.
Câu 25: Xác định ?, ? để hàm số
A. ? = -1; ? = 1
B. ? = 1; ? = 1
C. ? = -1; ? = -1
D. ? = 1; ? = -1
Câu 26: Tính
A.
B.
C.
D.
Xem thêm
Công thức và câu hỏi trắc nghiệm: Giới hạn hàm số
Công thức và câu hỏi trắc nghiệm: Nguyên hàm - Tích phân
Công thức và câu hỏi trắc nghiệm: Chuỗi số
Việc làm dành cho sinh viên:
Việc làm thực tập sinh kiểm toán
Việc làm gia sư các môn cập nhật theo ngày mới nhất
Việc làm thêm nhân viên phục vụ nhà hàng/ quán cafe dành cho sinh viên
Việc làm cộng tác viên kế toán
Mức lương của Thực tập sinh kế toán là bao nhiêu?
Được cập nhật 19/03/2025
875 lượt xem
Bình luận (0)
Đăng nhập để có thể bình luận
Chưa có bình luận nào. Bạn hãy là người đầu tiên cho tôi biết ý kiến!