- Câu hỏi trắc nghiệm Bài 4: Vitamin và thuốc bổ dưỡng (có đáp án)
Câu 1: Định nghĩa Vitamin, chọn câu sai:
a. Hầu hết cơ thể người và động vật không tự tổng hợp
b. Lượng cần thường rất lớn
c. Là nhân tố không thể thiếu để duy trì sự sống bền vững
d. Nguồn cung cấp chủ yếu từ thức ăn
Câu 2: Vitamin nào tan trong trong dầu:
a. Thiamin
b. Menadion
c. Pyridoxin
d. Vitamin C
Câu 3: Vitamin KHÔNG tan trong trong nước:
a. Acid folic
b. Vitamin PP
c. Cyanocobanlamin
d. α- tocoferol
Câu 4: Vitamin A có hoạt tính cao nhất khi R là nhóm:

a. -CHO
b. -CH2OH
c. -COOH
D. -CO
Câu 5: Các chất có hoạt tính của vitamin D là:
a. Calcifediol
b. Calcitriol
c. Ergocalciferol
d. a,b đúng
Câu 6: VITAMIN D3 được chỉ định trong các trường hợp sau,NGOẠI TRỪ:
a. Loãng xương
b. Trẻ em còi xương
c. Thiểu năng tuyến cận giáp
d. Bệnh Beri-Beri
Câu 7: Phương pháp định tính Vitamin C:
a. Phản ứng với FeSO4, tạo muối sắt (II) ascorbat, màu xanh tím
b. Phản ứng trực tiếp với AgNO3, cho màu nâu và giải phóng Ag.
c. a,b đúng
d. a,b sai
Câu 8: Phương pháp định lượng Vitamin C:
a. Đo iod
b. Đo ceri
c. Đo Nitrit
d. Acid-Base
Câu 9: Độc tính của Vitamin C:
a. Huyết khối
b. Sỏi thận
c. Không độc
d. Xốp xương
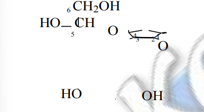
Câu 10: Cấu trúc sau là của Vitamin nào
a. Vitamin B1
b. Vitamin C
C. Vitamin B6
d. Vitamin E
Câu 11: Phương pháp định tính Vitamin B1:
a. Sắc kí lớp mỏng
b. Phản ứng với FeSO4, tạo muối sắt (II) ascorbat, màu xanh tím
c. Phản ứng FeCl3 tạo phức màu đỏ
d. Tạo thiocrom/ mt kiềm, phát huỳnh quang màu xanh lơ/ UV
Câu 12: Phương pháp định lượng Viatmin B1, CHỌN CÂU SAI:
a. Phương pháp môi trường khan
b. Phương pháp cân
c. Quang phổ UV, đo huỳnh quang, HPLC
d. Đo Iod
Câu 13: Vitamin nào có tác dụng hạ đáng kể mức lipid/máu:
a. Vitamin C
b. Vitamin B1
c. Vitamin PP
d. Viatmin B6
Câu 14: Dạng Viatmin A có tác dụng tăng nhạy cảm ánh sáng yếu của võng mạc mắt:
a. Vitamin A acid
b. Vitamin A aldehyd
c. Viatmin A acol
d. a,c đúng
Câu 15: Dạng Viatmin A có tác dụng ngăn ngừa ung thư da và niêm mạc:
a. Vitamin A acid
b. Vitamin A aldehyd
c. Viatmin A acol
d. a,c đúng
Câu 16: Độc tính khi uống vitamin A liều cao, kéo dài:
a. Khô nứt môi, rộp môi lưỡi,đau xương, viêm da tróc vẩy, loạn thị...
b. Không độc
c. Sỏi thận
d. Chảy máu
Câu 17: Vitamin A chỉ định trong trường hợp sau, ngoại trừ:
a. Quáng gà, khô mắt
b. Bệnh Scorbut
c. Phòng ung thư da
d. Phụ nữ vô sinh
Câu 18: Độc tính vitamin D, chọn câu sai
a. Tăng calci/huyết
b. Sỏi thận
c. Huyết khối
d. Vô cơ hóa mô xương
Câu 19: Nhu cầu vitamin D hàng ngày đối với người lớn khoẻ mạnh, không phơi nắng:
a. 300 UI/ngày.
b. 400 UI/ngày.
c. 500 UI/ngày.
d. 600 UI/ngày.
Câu 20: Vitamin E được chỉ định trong trường hợp:
a. Phòng sẩy thai, kinh nguyệt không đều; đàn ông vô sinh.
b. Loãng xương
c. Quáng gà
d. Bệnh Pellagra
Câu 21: Cấu trúc VITAMIN E:
a. Dẫn chất của tocol
b. Dẫn chất của tocotrienol
c. Dẫn chất Menadion
d. a,b đúng
Câu 22: Hoạt tính sinh học của vitamin E, chọn câu sai:
a. Là antioxydant, triệt tiêu gốc tự do
b. Tham gia chu trình chuyển hóa acid nucleic.
c. Tăng hấp thu Fe2+ tạo hồng cầu; tăng tính kháng nhiễm khuẩn.
d. Tăng hoạt lực các vitamin hoạt tính biểu bì: vita. A, C.
Câu 23: Vai trò sinh học của vitamin K trong cơ thể:
a. Điều hòa đường/huyết
b. Tham gia qúa trình tổng hợp Probrombin ở gan, giúp cho sự đông máu
c. Tham gia vào chu trình hấp thu-đào thải Ca, P
d. Duy trì tính bền vững các tổ chức biểu mô
Câu 24: Độc tính khi sử dụng Vitamin K dài ngày, liều cao:
a. Huyết khối
b. Không độc
c. Chảy máu kéo dài
d. Gây sỏi oxalat thận, sỏi mật
Câu 25: Vitamin nào tan trong trong nước:
a. α- tocoferol
b. Menadion
c. Acid L-ascorbic
d. Vitamin A
Câu 26: Các phương pháp định tính VITAMIN A1:
a. Phổ IR
b. Phản ứng FeSO4 tạo phức sắt II ascorbat
c. Phản ứng Carr- Price
d. Tất cả đúng
Câu 27: Vitamin K được chỉ định trong trường hợp:
a. Chảy máu khó cầm
b. Qúa liều thuốc chống đông máu.
c. Người bị huyết khối
d. a,b đúng
Câu 28: Vitamin C được chỉ định trong trường hợp, trừ:
a. Bệnh scorbut
b. Sỏi thận
c. Phối hợp điều trị chấn thương, nhiễm khuẩn
d.Thiếu máu nhược sắc thiếu sắt: Uống kèm thuốc Fe (II).
Câu 29: Hoạt tính sinh học của Vitamin C trong cơ thể:
a. Tham gia vào chu trình hấp thu-đào thải Ca, P
b. Tăng hấp thu Fe2+ tạo hồng cầu; tăng tính kháng nhiễm khuẩn.
c. Tham gia qúa trình tổng hợp Probrombin ở gan, giúp cho sự đông máu
d. Tăng nhạy cảm ánh sáng yếu của võng mạc mắt
Câu 30: Thiếu Vitamin B1 gây bệnh:
a. Scorbut
b. Beri-beri
c. Pellagra
d. Quáng gà
Câu 31: Thiếu Vitamin PP gây bệnh:
a. Scorbut
b. Beri-beri
c. Pellagra
d. Quáng gà
Câu 32: Vai trò sinh học của Vitamin B1 trong cơ thể:
a. Là Co-enzym trong chu trình Kreb chuyển hóa glucid
b. Là Co-enzym xúc tác sinh tổng hợp protein và acid amin.
c. Là coenzym trong sinh tổng hợp acid nucleic.
d. b,c đúng
Câu 33: Thiếu Vitamin A gây bệnh:
a. Scorbut
b. Beri-beri
c. Pellagra
d. Quáng gà
Câu 34: Vitamin B1 được chỉ định trong trường hợp, NGOẠI TRỪ:
a. Viêm đa thần kinh, tê phù
b. Bổ sung thiếu hụt do mang thai
c. Bổ sung thiếu hụt do lao động nặng
d. Làm hạ đáng kể mức lipid/máu
Câu 35: Vai trò sinh học của Vitamin B6 trong cơ thể:
a. Là Co-enzym trong chu trình Kreb chuyển hóa glucid
b. Là Co-enzym xúc tác sinh tổng hợp protein và acid amin.
c. Là coenzym trong sinh tổng hợp acid nucleic.
d. b,c đúng
Câu 36: Thiếu Vitamin B6 gây bệnh:
a. Sưng tấy đau khớp chi
b. Ezema
c. Suy thoái thần kinh
d. Tất cả đúng
Câu 37: Khi uống thuốc trị lao INH dài ngày thì cần bổ sung loại Vitamin nào:
a. Vitamin B6
b. Vitamin B1
c. Vitamin B12
d. Vitamin C
Câu 38: Vitamin nào sau đây nếu thiếu dẫn đến suy giảm hoạt động thần kinh:
a. Vitamin B6
b. Vitamin B1
c. Vitamin B12
d. Tất cả đúng
Câu 39: Vitamin B3 được chỉ định trong trường hợp, trừ
a. Pellagra
b. Cần hạ mức lipid/máu
c. Thiếu máu tan huyết
d. Thiếu máu nguyên hồng cầu khổng lồ
Câu 40: Vai trò sinh học của Vitamin B12 trong cơ thể:
a. Là Co-enzym trong chu trình Kreb chuyển hóa glucid
b. Là Co-enzym xúc tác sinh tổng hợp protein và acid amin.
c. Là coenzym trong sinh tổng hợp acid nucleic.
d. b,c đúng
Câu 41: Tình trạng không có Vitamin B12 gây ra các các bệnh lý, trừ:
a. Thoái hóa thần kinh
b. Thiếu máu nguyên hồng cầu khổng lồ
c. Còi xương
d. Tổn thương tủy xương không hồi phục.
Câu 42: Vitamin B12 chống chỉ định trong trường hợp:
a. Ung thư
b. Bệnh thần kinh thị giác
c. Không có chống chỉ định
d. a,b đúng
Câu 43: Khoáng chất nào có vai trò bảo vệ men răng và làm tăng mật độ xương:
a. Canxi
b. Đồng
c. Flo
d. Kẽm
Câu 44: Thiếu chất khoáng nào liên quan tới nhiều dạng thiếu máu:
a. Canxi
b. Đồng
c. Flo
d. Kẽm
Câu 45: Thiếu chất khoáng nào gây chuột rút:
a. Canxi
b. Đồng
c. Flo
d. Kẽm
Câu 46: Chất khoáng nào đóng vai trò thành phần enzym chuyển hóa ở mọi tổ chức:
a. Canxi
b. Đồng
c. Flo
d. Kẽm
ĐÁP ÁN
| 1 |
2 |
3 |
4 |
5 |
6 |
7 |
8 |
9 |
10 |
| B |
B |
D |
B |
D |
D |
C |
A |
C |
B |
| 11 |
12 |
13 |
14 |
15 |
16 |
17 |
18 |
19 |
20 |
| D |
D |
C |
B |
A |
A |
B |
C |
B |
A |
| 21 |
22 |
23 |
24 |
25 |
26 |
27 |
28 |
29 |
30 |
| D |
C |
B |
A |
C |
C |
D |
B |
B |
B |
| 31 |
32 |
33 |
34 |
35 |
36 |
37 |
38 |
39 |
40 |
| C |
A |
D |
D |
B |
D |
A |
D |
D |
C |
| 41 |
42 |
43 |
44 |
45 |
46 |
|
|
|
|
| C |
D |
C |
B |
A |
D |
|
|
|
|
Xem thêm:
Câu hỏi trắc nghiệm Hóa dược Bài 1: Thuốc Thần kinh
Câu hỏi trắc nghiệm Hóa dược Bài 2: Thuốc giảm đau
Câu hỏi trắc nghiệm Hóa dược Bài 3: Thuốc tim mạch
Câu hỏi trắc nghiệm Hóa dược Bài 5: Thuốc chống virut
Câu hỏi trắc nghiệm Hóa dược Bài 6: Thuốc đường hô hấp
Câu hỏi trắc nghiệm Hóa dược Bài 7: Thuốc hệ tiêu hóa
Câu hỏi trắc nghiệm Hóa dược Bài 8: Thuốc kháng sinh
Việc làm dành cho sinh viên:
Việc làm gia sư môn Hóa học mới nhất
Việc làm gia sư các môn cập nhật theo ngày mới nhất
Việc làm thêm nhân viên phục vụ nhà hàng/ quán cafe dành cho sinh viên
Mức lương của gia sư môn Hóa học là bao nhiêu?
Việc làm cộng tác viên Hóa dược
Bình luận (0)
Đăng nhập để có thể bình luận
Chưa có bình luận nào. Bạn hãy là người đầu tiên cho tôi biết ý kiến!